TZJ系列陶瓷渣漿泵是我公司在ZJ系列高鉻合金過流部件渣漿泵基礎上,結合**新陶瓷技術,開發出的過流件為陶瓷材料的渣漿泵產品,過流部件材質一般為碳化硅、氮化硅非金屬材料,廣泛用于選礦、冶煉廠等具有強磨損以及磨損+腐蝕的復雜工況,具有比現有渣漿泵更顯著的**、耐蝕效果,經市場應用,得到十分優良的節能效果。
**陶瓷過流部件材質:**損、耐氣蝕、壽命長陶瓷過流部件目前通過實踐證明使用壽命為**金屬過流件的3-5倍,真正做到降本增效!
密封形式:
有三種密封形式選擇:
1.副葉輪+填料密封:
2.副葉輪+機械密封
3.機械密封
應用領域
金屬礦(有色及黑色金屬)選礦廠礦漿入料及各種精礦、尾礦和各種流程物料的輸送非金屬礦(比如磷礦)選礦廠礦漿入料及各種精礦、尾礦和各種流程物料的輸送,
鈦白粉、鐵紅粉、磷肥、鉀肥生產過程中各種磨蝕料漿的輸送。
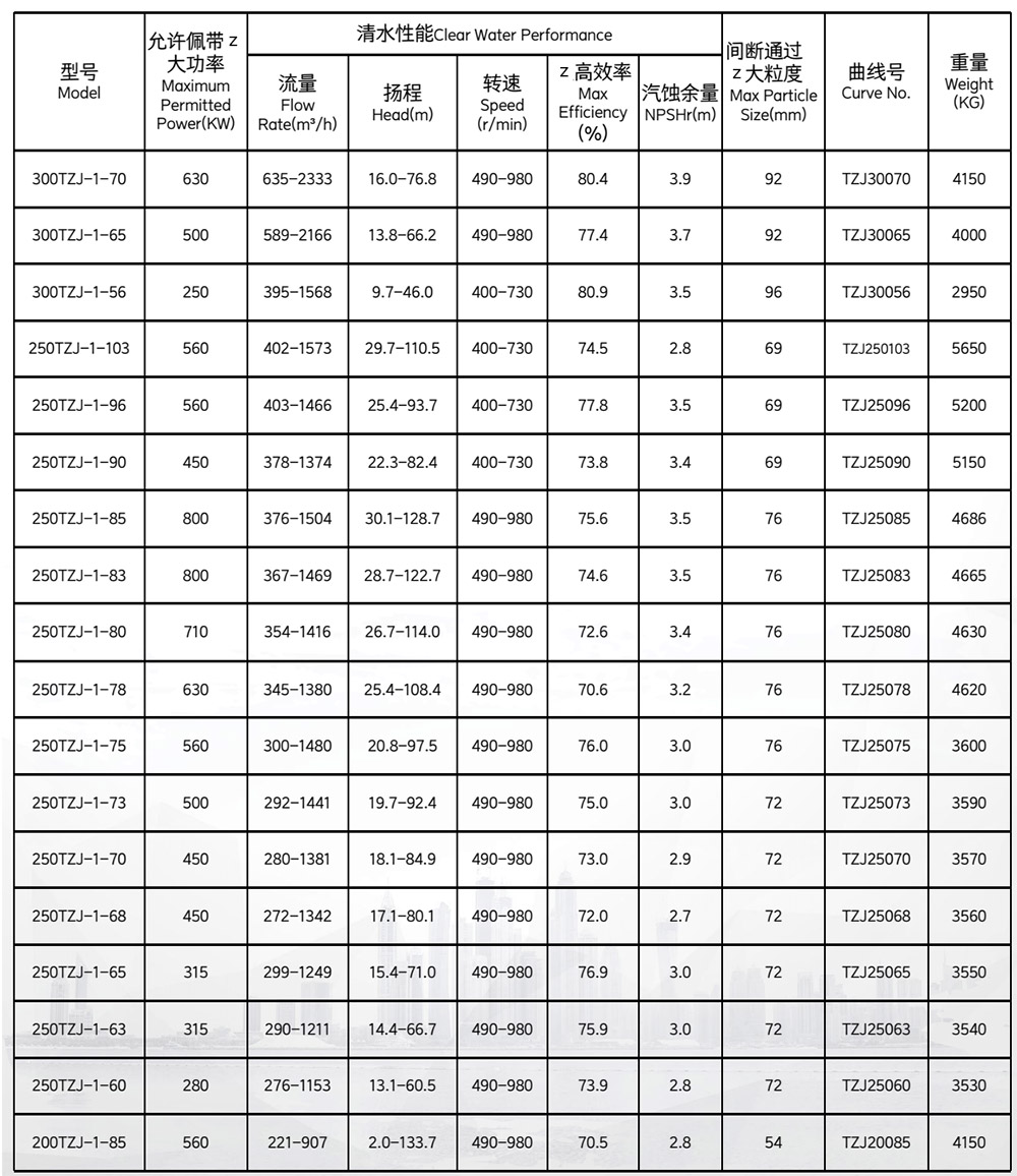
泵參數及應用范圍
流量Q:30-2000m3/h,
揚程H:10-120m
允許物料zui大顆粒<4mm
允許漿體溫度<85℃。

使用工況
1、溫度:礦漿溫度小于80℃
2、漿液PH值在≥3的工況下使用(不適合輸送含氫氟酸或強酸的物料)
3、輸送顆粒在4mm以下。一段磨下泵由于礦漿較粗,陶瓷泵優勢較弱(使用壽命優勢不大)不建議使用陶瓷泵。其余二段泵后的礦漿輸送例如粗精泵、精礦泵、底流泵、壓濾機入料泵、等輸送細顆粒礦漿均有很好的效果(顆粒細度-200目占比40以上)。
4、尤其適合有汽蝕現場及弱酸腐 蝕性的工況有明顯效果。
結構特點
1、密封選用行業普及的密封方式:副葉輪+填料密封:副葉輪+機械密封;機械密封,三種形式。
2、過流件選用碳化硅、氮化硅,硬度高、**性好,壽命為金屬的3-5倍。
3、陶瓷渣漿泵顛覆了傳統金屬渣漿泵結構:使用對開式泵頭結構,結構簡單安裝方便。
4、軸承潤滑方式:采用多種潤滑方式,有稀油潤滑,也有油脂潤滑。
5、型號齊全:可選擇的型號范圍廣,參數覆蓋流量zui高2000m3/h,揚程**高120m。外形安裝尺寸可做到與ZJ系列一致,現場更換方便,也可以制作其他系列的陶瓷泵。

